
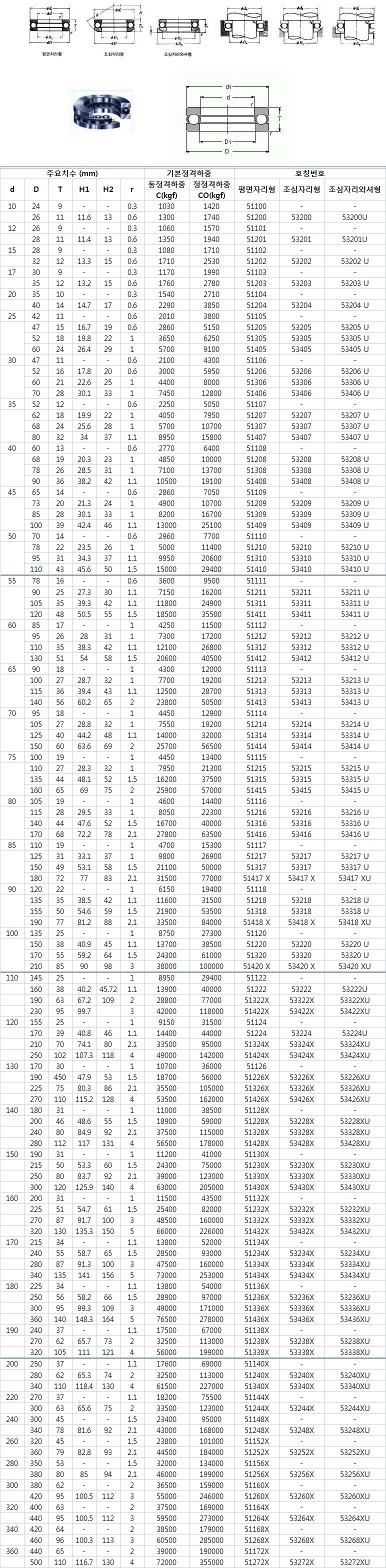
스트러스 볼베어링
스러스트 볼베어링은 축 방향 하중을 견디고 이를 효과적으로 전달하기 위해 설계된 베어링으로, 외부 링 시트(하우징 와셔)의 형상에 따라 플랫 시트 또는 정렬 시트로 분류됩니다. 이러한 베어링은 축 방향 하중을 처리하는 데 특화되어 있으나, 레이디얼 하중(수직 방향의 하중)을 지지할 수는 없습니다. 스러스트 볼베어링은 주로 기계 시스템에서 축 방향 하중을 안정적으로 전달하고 지지하는 역할을 수행합니다.

단방향 스러스트 볼베어링
단방향 스러스트 볼베어링은 축 방향 하중을 한 방향으로만 전달할 수 있는 구조를 가지고 있습니다.
- 케이지 재질: 주로 프레스 스틸 케이지(압연 강재)나 기계 가공된 황동 케이지가 사용됩니다.
- 특징: 단일 방향으로 발생하는 축 방향 하중을 효율적으로 지지하며, 반대 방향으로 가해지는 하중에 대해서는 저항하지 못합니다.
- 용도: 특정 방향에서의 축 하중이 발생하는 시스템에 적합하며, 단순한 설계와 안정적인 성능이 요구되는 환경에서 주로 사용됩니다.
양방향 스러스트 볼베어링
양방향 스러스트 볼베어링은 두 방향으로 발생하는 축 방향 하중을 모두 견딜 수 있도록 설계되었습니다.
- 케이지 재질: 단방향 스러스트 볼베어링과 동일한 직경 시리즈의 프레스 스틸 케이지나 황동 케이지를 사용합니다.
- 특징: 양방향 하중을 효과적으로 처리하며, 상호작용하는 두 부품 사이에서 발생하는 힘의 균형을 유지합니다.
- 용도: 복잡한 시스템에서 양방향으로 하중이 가해지는 경우, 안정성과 신뢰성이 요구되는 기계 설계에서 주로 사용됩니다.
설계 및 선택 고려사항
스러스트 볼베어링은 기계적 설계에서 축 방향 하중을 효과적으로 전달해야 하는 다양한 경우에 활용됩니다. 단방향과 양방향 스러스트 볼베어링은 하중이 발생하는 방향과 시스템 설계 요구사항에 따라 적절히 선택되어야 합니다. 또한, 베어링의 케이지 재질과 형태는 베어링의 성능, 내구성, 그리고 수명에 중요한 영향을 미칩니다. 적합한 재질과 설계를 채택함으로써 베어링의 마모와 손상을 최소화하고, 안정적인 하중 전달 성능을 유지할 수 있습니다.
스트러스 볼베어링의 특징

스러스트 볼베어링은 한 방향과 양방향 두 가지 디자인으로 구성되어 있습니다. 한 방향 스러스트 볼베어링은 축 방향 하중을 단일 방향으로만 전달할 수 있으며, 양방향 스러스트 볼베어링은 두 방향에서 발생하는 축 방향 하중을 모두 견딜 수 있는 구조를 가지고 있습니다. 이 베어링은 설치 시 발생할 수 있는 오차를 허용하기 위해 구형 정렬 시트와 정렬 시트 와셔를 사용할 수 있으며, 이는 초기 설치 오차를 최소화하고 베어링의 정확한 위치를 보장하는 데 기여합니다.
또한, 스러스트 볼베어링에는 내구성을 극대화하기 위해 울트라 클린 강이 사용되며, 이는 베어링 수명을 최대 80%까지 연장할 수 있습니다. 윤활 기술 측면에서는 NSK 윤활유가 적용되어 고속 회전 시에도 조용하고 부드러운 작동을 가능하게 하고, 마찰과 열 발생을 줄여 베어링의 성능을 향상시킵니다. 고품질의 볼은 하중을 균일하게 분배하고 소음과 진동을 줄여 고속에서도 안정적인 작동을 제공합니다.
마지막으로, 시트링 옵션은 초기 설치 오차를 보정하고 베어링의 정확한 위치를 조정할 수 있도록 도와줍니다. 이러한 설계와 기술 요소들은 스러스트 볼베어링의 성능과 내구성을 높이며, 설치와 유지보수를 용이하게 만들어 다양한 기계적 요구를 충족시킵니다.

